Home
Der Verband
Der Leda-Jümme-Verband
Karten
Der Bauhof
Verbandsorgane
Polder Holter Hammrich
Deichunterhaltung
Team
Prüfung
Standort
Ihr Beitrag
Beitrag 2025
Service
Ihr Beitrag
Hinweise für Anlieger
Der Bisam
Die Nutria
Deich ABC
Verhalten am Deich
Pegel
Links
Downloads
Impressum
Datenschutz
Bekanntmachungen
Hier finden Sie Informationen über Aktuelle Bekanntmachungen
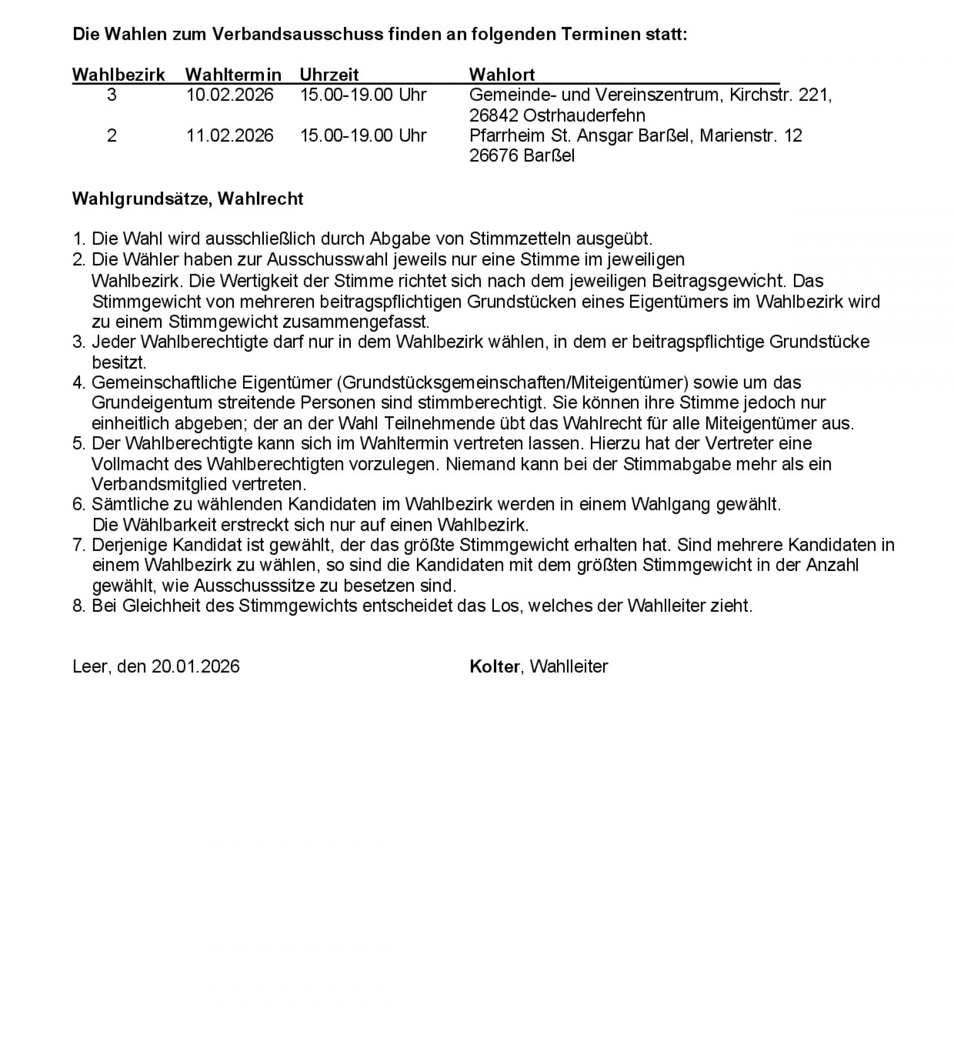
Bekanntmachung Wahlvorschlage.pdf
Bekanntmachung der 3. Änderungssatzung zur Satzung des Leda-Jümme-Verbandes vom 24.08.2025 in der Fassung vom 01.01.2025
3 Änderungssatzung.pdf